1. Calculating Natural Frequency of a Semi-Ring

SimulationNovember 15, 2012

Calculating Natural Frequency of a Semi-Ring

For this post I decided to test out something that I learned…
AvatarIan Jutras
Share

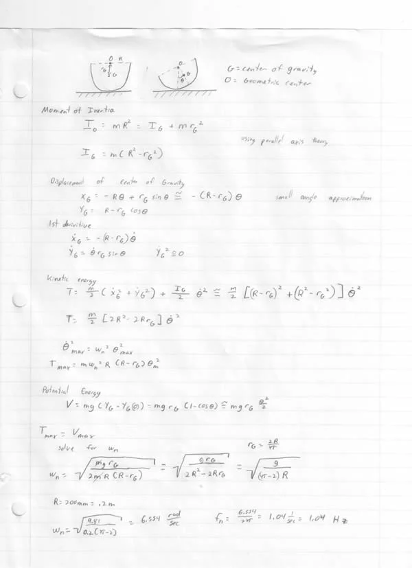
For this post I decided to test out something that I learned in my mechanical vibrations class which is calculating the natural frequency of a semi-ring.  This ring can be seen above with some of the basic dimensions.  Below are my hand calculations to find the frequency.  The subscript G is referring to the center of gravity whereas the subscript O is referring to the geometric center of the ring.  Gravity is the restoring force that is acting on the ring when the center of gravity is past the geometric center of ring.  I found the maximum kinetic and potential energy of the ring due to the fact that the total energy in the system is the kinetic plus the potential.  When the ring is at is farthest position, the potential energy will be at the max and there will be no kinetic energy.  When the ring is passing through its equilibrium the kinetic energy will be at its maximum and there will be no potential energy.  Due to the fact that the total energy in the system is not changing they can be set equal to each other.  Solving this for the natural frequency will result in a relatively simple formula that is seen at the bottom of my hand calculations.

The next step was to create the model in SolidWorks and create a motion study.  I used motion analysis to create a study using gravity and had an initial displacement of the ring.  In the first study I just used a tangent mate to keep the contact but I also created another study in which I used solid body contact with friction.  This acted as a damper and reduced the amplitude over time.  Once I ran the study I plotted the y component of linear displacement selecting the upper edge of the ring and the base plate as a reference.  This gave me the graph that you see below.

To find the frequency of oscillation I right clicked in the graph and selected export CSV.  This gave me data points that I was able to open in Excel.  With this open I determined the number of cycles per second.  This turned out to be approximately 1.1 Hz which is relatively close to the 1.04 Hz that was calculated using the equations.  Feel free to check out the model below and try to calculate the natural frequency of a different sized ring but make sure to have motion analysis added in.  Enjoy!

Ian Jutras

Worcester Polytechnic Institute

Mechanical Engineering 2013

Download Semi-Ring Frequency

Subscribe

Register here to receive a monthly update on our newest content.

Get the latest articles in your inbox.

Receive updates on content you won’t want to miss!