


SolidWorks Partner Profile: 3D QuickTools
Tell us about 3D QuickTools We are a group of experienced developers…
April 6, 2012

Introducing SolidWorks Plastics
Take a minute and look inside your refrigerator. Have you ever wondered…
April 3, 2012

Simplifying “Puzzling” Instruction Sheets with 3DVIA Composer
My six-year-old daughter came home from a birthday party recently with some…
March 28, 2012

Lobster Trap Using Weldments
This time I decided to make a part using the weldments feature…
March 21, 2012

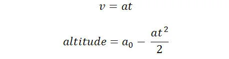
Supersonic Sky Diving with SolidWorks Simulation
I have been reading about Felix Baumgartner’s attempt on the world skydiving…
March 21, 2012

Landscape Forms: adding beauty to outdoor furniture &...
Landscape Forms is a Michigan-based company that makes outdoor site furniture. If…
March 19, 2012

Pepper Grinder
The inspiration for this post came during dinner with my family. This…
March 8, 2012

Staple Remover in SolidWorks
This staple remover was fun and simple to model, and provided me…
February 27, 2012